Космическая частица ультравысокой энергии пришла с неожиданного направления
Модератор: Princess
- Princess
- Системный администратор

- Сообщений: 545
- Зарегистрирован: 16 янв 2020, 21:34
- Откуда: Moscow
- Контактная информация:
Космическая частица ультравысокой энергии пришла с неожиданного направления
Частицы космических лучей с энергией больше 1020 электронвольт — не очень частые гости на детекторах физиков-экспериментаторов. За время целенаправленного изучения таких частиц их было «поймано» лишь несколько десятков. Утром 27 мая 2021 года установка Telescope Array, расположенная в пустынной части американского штата Юта, зарегистрировала широкий атмосферный ливень, порожденный заряженной частицей (или ядром атома с большим зарядом) с энергией (2,44±0,29)⋅1020 эВ. С учетом погрешностей, это третья по энергии частица космических лучей за всю историю наблюдений. Решающую роль в физической интерпретации результатов наблюдений сыграли ученые из Института ядерных исследований РАН. Статья с подробным описанием события и его анализа опубликована в свежем выпуске журнала Science.
Космические лучи — это высокоэнергичные элементарные частицы, фотоны или ядра атомов, двигающиеся сквозь космическое пространство. С момента их открытия в 1912 году и до появления мощных ускорителей космические лучи были единственным источником энергичных частиц. Благодаря их исследованию были сделаны многие важные открытия: первое обнаружение позитрона, мюона, π- и K-мезонов, гиперонов и многие другие.
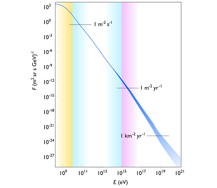
Один из способов классификации космических лучей — по их энергии. На рис. 1 показано распределение частоты лучей в зависимости от энергии (о том, почему график имеет такую форму, рассказано в задаче Степенная зависимость из ничего).
Космические лучи ультравысоких энергий (ultra-high-energy cosmic rays — UHECRs) имеют энергию свыше одного эксаэлектронвольта (1 ЭэВ = 1018 эВ). Это примерно в миллион раз превосходит энергию частиц, достижимую на рукотворных ускорителях. Считается, что их происхождение связано с самыми масштабными и энергоемкими процессами во Вселенной: гамма-всплесками, релятивистскими струями-джетами и потоками, порождаемыми сверхмассивными черными дырами в центрах активных галактических ядер. Частицы с такими энергиями интересны прежде всего тем, что из-за своей рекордной энергии отклоняются космическими магнитными полями всего на считаные градусы, приходят к нам из-за пределов Галактики и поэтому могут служить принципиально новым каналом информации о внегалактических объектах.
Из рис. 1 видно, что чем выше энергия, тем ниже вероятность «поймать» такую частицу на единицу площади. Поэтому частиц космических лучей с самой высокой энергией ученым известно не слишком много и тем ценнее каждая новая регистрация подобных частиц. Пожалуй, самая знаменитая — частица „Oh-My-God“ («О боже мой!»), зарегистрированная вечером 15 октября 1991 года на испытательном полигоне Дагвэй в штате Юта с помощью детектора космических лучей «Глаз мухи» (Fly's Eye Cosmic Ray Detector), принадлежавшего Университету штата Юта. Энергия той частицы оценивается в 3,2⋅1020 эВ (D. Bird et al., 1995. Detection of a Cosmic Ray with Measured Energy Well beyond the Expected Spectral Cutoff due to Cosmic Microwave Radiation), что соответствует 48 джоулям. Такой энергией обладает 142-граммовый бейсбольный мяч, движущийся со скоростью 93,6 км/ч. К сожалению, установить природу этой частицы невозможно из-за недостатка данных.
С момента регистрации частицы „Oh-My-God“ было обнаружено уже около сотни похожих достаточно редких, но не столь масштабных событий, подтверждающих достоверность существования частиц ультравысоких энергий, хотя обычно энергия космических лучей находится в диапазоне от 10 МэВ до 10 ГэВ. До недавних пор тройку лидеров по энергии дополняли частица с энергией 2,80⋅1020 эВ, зарегистрированная в 2001 году (N. Sakaki et al., 2001. Cosmic ray energy spectrum above 3×1018 eV observed with AGASA), и частица с энергией 2,13⋅1020 эВ, зарегистрированная в 1993 году (N. Hayashida et al., 1994. Observation of a Very Energetic Cosmic Ray Well Beyond the Predicted 2.7K Cutoff in the Primary Energy Spectrum).
Частица 1991 года была «поймана» с помощью флуоресцентных детекторов, а вот частицы 1993-го и 2001 годов — уже с помощью массивов поверхностных детекторов. Все они находились в Северном полушарии. Поиск в Южном полушарии пока не дал частиц с энергией больше 1,66⋅1020 эВ (P. Abreu et al., 2022. Arrival Directions of Cosmic Rays above 32 EeV from Phase One of the Pierre Auger Observatory).
Большая редкость космических лучей предельно высоких энергий объясняется тем, что их источники не могут располагаться на расстояниях свыше 50–100 мегапарсек от Земли. Долетать, не теряя энергию, с более дальних дистанций им мешает так называемый эффект Грайзена — Зацепина — Кузьмина (ГЗК): в результате взаимодействия с фотонами космического микроволнового фона частицы с энергией выше 5⋅1019 эВ не могут без серьезных потерь пройти через межгалактическую среду — они порождают пионы, пока их энергия не упадет ниже указанного порога. Это предельное значение энергии было вычислено в 1966 году Георгием Тимофеевичем Зацепиным и Вадимом Алексеевичем Кузьминым и, независимо от них, американским физиком Кеннетом Грайзеном. Г. Т. Зацепин (1917–2010) и В. А. Кузьмин (1937–2015) работали в Институте ядерных исследований АН СССР с момента его основания в 1970 году.
Когда частицы, обладающие очень высокой энергией, попадают в земную атмосферу и сталкиваются с ядрами атомов (в основном — азота и кислорода), из которых состоит воздух, они порождают огромное количество вторичных частиц, в свою очередь также взаимодействующих с атмосферой и становящихся источниками дальнейших каскадов распадов пионов, каонов, мюонов и электронов. Это явление называют широким атмосферным ливнем (ШАЛ, подробнее см. Космические дожди). В ходе такого «ливня» первоначальная частица может породить до 10 млрд вторичных частиц, высыпающихся на земную поверхность и накрывающих площадь до десятка квадратных километров. Эти вторичные частицы почти одновременно регистрируются детекторами, которые расположены на обширной площади с интервалами в сотни метров и даже в километры (рис. 2). Используя информацию о небольшой разнице по времени между моментами регистрации разных частиц (порядка микросекунды), ученые оценивают направление прихода (фронт ливня) и энергию первичной частицы (по обширности ШАЛ и числу зарегистрированных частиц на уровне земли).
Установка международной коллаборации Telescope Array, которая стала наследницей вышеупомянутого детектора космических лучей «Глаз мухи» в штате Юта и зарегистрировала в том числе и обсуждаемое событие 27 мая 2021 года, представляет собой решетку из полутысячи поверхностных детекторов (каждый площадью 3 м2), расставленных с интервалом 1,2 км и охватывающих участок в 700 км2 (рис. 3). В дополнение к ним имеются также флуоресцентные детекторы, чувствительные к черенковскому излучению, порождаемому заряженными частицами атмосферного ливня, движущимися со скоростями, превышающими фазовую скорость света в воздушной среде. Эта установка уже свыше пятнадцати лет (начиная с 2008 года) занимается постоянным мониторингом космических лучей. Исследования, проводимые с помощью Telescope Array, позволили предположить ранее, что источник многих высокоэнергичных частиц находится в 20-градусной зоне в направлении на созвездие Большой Медведицы. Проект Telescope Array объединяет исследователей из США, Японии, Южной Кореи, Бельгии и России, представленной учеными из Института ядерных исследований РАН, которые сыграли решающую роль в физической интерпретации обнаруженной в 2021 году частицы. В последние годы ученые активно используют машинное обучение и нейронные сети, позволяющие распознавать характерные паттерны тех или иных событий.
27 мая 2021 года в 4 часа 35 минут 56 секунд по времени штата Юта (MST — так называемое горное время, эквивалентное UTC−7) на Telescope Array были получены сигналы взаимодействия с атмосферой космической частицы, энергия которой оценивается в 2,44⋅1020 электронвольт (244±29 эксаэлектронвольт, или ~40 джоулей — порядка кинетической энергии хоккейной шайбы, пущенной профессиональным спортсменом). Неофициально было предложено называть ее «частицей Аматэрасу» — в честь богини Солнца из японского синтоистского пантеона, поскольку зарегистрирована она была на рассвете.
Несмотря на то что наземные детекторы частиц располагаются на расстоянии свыше 1,2 км друг от друга, в общей сложности 23 детекторам удалось зарегистрировать эти сигналы с микросекундной разницей по времени. Такой результат указывает на то, что это был именно ШАЛ, порожденный одной-единственной частицей (или атомным ядром) чрезвычайно высокой энергии. По величине и временной разнице сигналов, обнаруженных каждым детектором, были рассчитаны направление и общая энергия ливня частиц.
После того, как событие с рекордной энергией было обнаружено, оно подверглось тщательному анализу российскими участниками проекта. Иван Харук, научный сотрудник Лаборатории обработки больших данных ИЯИ РАН, так говорит о работе, проведенной на первом этапе: «Сигнал со всех станций наземной решетки детекторов Telescope Array был исследован с помощью методов машинного обучения: с высокой степенью достоверности было установлено, что частица не может быть гамма-квантом (поскольку он давал бы другой вид ливня), и это не позволяет однозначно связать ее с каким-либо процессом в пределах Стандартной модели физики частиц». Результаты этого анализа пока допускают, что частица может быть как протоном, так и ядром атома химического элемента. На втором этапе направление прихода частицы было соотнесено с трехмерной картой внегалактических объектов.
На рис. 5 показано направление прихода этой частицы на небесной сфере. Явно видно, что в том направлении нет какого-либо известного галактического или внегалактического объекта-кандидата, способного породить частицу с такой энергией (в крупномасштабной карте Вселенной там находится локальная пустота). До сих пор в качестве вероятных кандидатов на испускание космических лучей сверхвысоких энергий рассматривались два объекта. Первый — гигантская эллиптическая галактика M 87 с активным ядром в скоплении Девы (удалена от нас на 16,5 Мпк). Второй — активная галактика с интенсивным звездообразованием M 82 (удалена от нас на 3,5 Мпк). Однако обе они располагаются в направлениях, заведомо отличных от тех, что подошли бы в этом случае, и также не совпадают с направлением на избыток космических лучей в созвездии Большой Медведицы, о котором ранее свидетельствовали данные Telescope Array.
Расчетное направление прихода частицы 27 мая 2021 года находится вблизи диска Млечного Пути, где галактическое магнитное поле достаточно сильно, чтобы заметно отклонить частицу даже с энергией 2,44⋅1020 эВ, особенно если это тяжелое ядро с большим электрическим зарядом. На рис. 5 показаны восемь возможных направлений прихода, которые были рассчитаны, исходя из разных моделей для четырех возможных типов первичных частиц (протон, ядро углерода, ядро кремния и ядро железа). Для определения направления прихода первичной частицы до ее попадания в Млечный Путь использовался метод обратного хода в системе распространения космических лучей (R. Alves Batista et al., 2016. CRPropa 3 — a public astrophysical simulation framework for propagating extraterrestrial ultra-high energy particles).
Полученные направления сравнивались с каталогом источников гамма-излучения. Так, в качестве одного из первоначальных кандидатов рассматривалась активная галактика PKS 1717+177, расположенная в пределах 2,5° от расчетного направления прихода первичной частицы. Однако расстояние от нас до этой галактики составляет около 600 Мпк (что соответствует красному смещению 0,137), а это уже слишком велико для распространения космических лучей ультравысоких энергий, попадающих на Землю: средняя дистанция распространения при энергии 2,44⋅1020 эВ составляет ~30 Мпк для протонов и ядер железа. На рис. 5 также обозначены близлежащие активные галактические ядра, испускающие гамма-лучи, и галактики, которые были предложены в качестве возможных источников космического излучения. Выяснилось, что направление прихода частицы ведет в локальную пустоту — Местный войд — полость, простирающуюся между Местной группой галактик и близлежащими галактическими нитями-волокнами. В этой пустоте присутствуют немногочисленные галактики, ни одна из которых не может послужить предполагаемым местом ускорения космических лучей сверхвысоких энергий. Даже с учетом диапазона возможных отклонений первичной частицы и вариаций ее заряда не удается найти убедительных источников — кандидатов для этого события. Лишь в некоторых моделях и в предположении, что это весьма тяжелое ядро (железа), направление источника можно с трудом «притянуть» к той части крупномасштабной структуры, что населена галактиками. Это направление оказывается близко к спиральной галактике NGC 6946 (галактика Фейерверк), находящейся от нас на расстоянии 7,7 Мпк. Однако NGC 6946 в гамма-лучах не светится, поэтому вряд ли может оказаться мощным источником космических лучей ультравысоких энергий.
В принципе, можно уже попытаться оценить, с какого расстояния добиралась до нас частица 2021 года. Если предположить, что она представляет собой ядро железа, инжектированное с начальной энергией 1021 эВ, то с учетом потерь энергии в пути получится расстояние 10,3+5,3−3,0 Мпк. В предположении, что это был протон, расстояние оценивается в 27,0+3,8−3,0 Мпк. Фон частиц от более далеких источников ослаблен энергетическими потерями, поэтому существенный вклад могут вносить лишь источники из локальной Вселенной. Таким образом, верхние ограничения на отклонение частицы, даже если взять максимальные значения для турбулентных внегалактических магнитных полей, устанавливаются как <20° для железа и <1° для протона.
На рис. 6 показаны направления прихода для 28 частиц с энергиями свыше 1020 эВ, зарегистрированных в период с мая 2008 года по ноябрь 2021 года. В сумме их поток составляет 1,6⋅10−4 на км2 в год. Какой-либо кластеризации среди наиболее высокоэнергетических событий не обнаружено. Предварительно ожидалось, что события с энергией выше 1020 эВ будут как-то сгруппированы, но наблюдаемые направления приходов таких частиц имеют изотропное распределение. Отсутствие подходящего близкого источника для события 27 мая 2021 года может быть обусловлено гораздо большим магнитным отклонением, чем предсказывают модели, либо более тяжелой первичной частицей. «Альтернативный вариант — наше недостаточное понимании физики частиц», — пишут авторы работы. Если существуют неизвестные типы первичных частиц, которые не взаимодействуют с микроволновым фоном, то они могут сохранять свою энергию при движении к Земле из гораздо более удаленных активных галактик. Также не исключены особые виды распадов частиц темной материи. Современные установки пока не способны учитывать подобные возможности для наблюдаемых событий. В общем, участники эксперимента не исключили существования каких-то неизвестных астрономических явлений или новых физических принципов, выходящих за рамки Стандартной модели.
В дальнейшем предполагается продолжить реализацию эксперимента Telescope Array и более детально исследовать источники этих чрезвычайно энергичных частиц — прежде всего в рамках продолжающегося проекта TA×4 по модернизации установки, цель которого — увеличение покрываемой площади в четыре раза. Используя методы классификации, основанные на машинном обучении и разработанные российской группой, возглавляемой заместителем директора ИЯИ, профессором РАН Григорием Рубцовым (в нее входят также главный научный сотрудник ОЭФ ИЯИ РАН, академик РАН Игорь Ткачев, главный научный сотрудник ОТФ ИЯИ РАН, член-корреспондент РАН Сергей Троицкий, заведующий отделом радиоастрономии ГАИШ МГУ, профессор РАН Максим Пширков, ведущий научный сотрудник ОТФ ИЯИ РАН, профессор РАН Олег Калашев, ведущий научный сотрудник ОЭФ ИЯИ РАН Баярто Лубсандрожиев, научные сотрудники Лаборатории обработки больших данных ИЯИ РАН Яна Жежер, Михаил Кузнецов и Иван Харук), можно будет с повышенной точностью провести анализ типов этих частиц и понять природу этих космических лучей ультравысоких энергий — выяснить, являются ли они протонами или ядрами каких-то элементов. В рамках подхода «многоканальной астрономии» такие данные можно объединить с наблюдениями радиоволн, инфракрасных лучей, видимого света, ультрафиолета, рентгеновского и гамма-излучения, нейтрино и гравитационных волн — тем самым расширить наши знания о космической среде, в том числе и о размерах, структуре и конфигурации магнитных полей, пронизывающих Вселенную.
Источник: Telescope Array Collaboration. An extremely energetic cosmic ray observed by a surface detector array // Science. 2023. DOI: 10.1126/science.abo5095.
Максим Борисов
https://elementy.ru/novosti_nauki/434164/Kosmicheskaya_chastitsa_ultravysokoy_energii_prishla_s_neozhidannogo_napravleniya